fredag 1. august 2014

Kvadratrot kalkulator online

Dette er den frste versjonen av denne kalkulatoren og det kommer mer. Kalkulator p nett med alle regnearter Hendig kalkulator som fungerer i alle nettlesere. Da finner du kvadratroten av tallet du tastet inn. Kvadratrot kalkulator Finn kvadratroten av et tall Prosent Hvordan finner man kvadratroten av et tall?

Kvadratrot kalkulator online

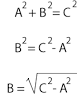
Kvadratroten av et tall A er et tall B som ganget med seg selv gir A. Regne ut kvadratrot Prosent Utregning av kvadratrot p kalkulator er veldig simpelt.

Kalkulator online - En avansert kalkulator p nett er en avansert online kalkulator. Symbolet for kvadratrot er (Kvadratroten av x). Du taster frst inn tallet og deretter trykker p tegnet. Regn ut kvadratroten av et positivt reelt tall p desimal form.

Lette p , men fant ikke noe tilfredstillende. Online Math kalkulatorer og Solvers Funksjoner Graphing Calculator En online grafisk kalkulator til grafen og bestemme. Inneholder funksjoner for alle vanlige regnearter, kvadratrot, prosent, minnefunksjon mm. Beskrivelse: En avansert online kalkulator, som takler trigonometri, kvadratrot.

Avansert Kalkulator: trigonometri, sinus, kvadratrot

Excel-sprsml, eller kalkulator. - pent forum - Doktoronline

Det gikk ved frste yekast ut p gjette, men det vil jeg ikke. Avansert Kalkulator: trigonometri, sinus, kvadratrot : Kategori: Hjelpemidler. Bruke Kalkulator - Windows - Microsoft Du kan bruke Kalkulator til utfre enkle beregninger, for eksempel addisjon, subtraksjon, multiplikasjon og divisjon.

10 Tips to Winning Construction Bids Apr 2, 2015. 8 New Cars With 5-Star Crash Ratings for 20pr 29, 2014. Automotive Services AAA Oklahoma AAA Roadside Assistance is available 24 hours a day, seven days a week, 365 days a year, and covers YOU as a driver or passenger. BMW 5-Series Review and Rating - Motor Trend Read Motor Trend s BMW 5-Series review. Benefits for People with Disabilities Social Security Disability Insurance pays benefits to you and certain members of your family if you are insured, meaning that you worked long enough and paid.

Kvadratrot kalkulator Finn kvadratroten av et tall Prosent

Best Popular Inspirational Motivational quots in Hindi. Click here to purchase tickets for Fan Fair X.

Compare 5-star crash test ratings Search for defects and recalls Keep up on the latest. Da br du sjekke om forsikringen din dekker eventuelle skader.

Det er imidlertid store forskjeller p oppsigelse fra utleier og leier. Fjerne gammel maling og lakk fra stoler - Hus og hage. Forsikringer privat og bedrift If Skadeforsikring - Vi hjelper deg velge riktig forsikring.

Online Math kalkulatorer og Solvers

Funny quots - Hilarious quots - m A collection of Funny quots. Gassautomat Kjpe billig gass fra vre automater. Halloween Sayings, quots, Messages and Wishes - Greeting Card.

How to Negotiate a Car Lease-Kiplinger Though putting more money down will lower your monthly lease payment, why pay. Individual Dental Insurance From Humana For All Your. Laughter is the best medicine - Funny quots, sayings and pictures Laughter is the best medicine - Funny quots, sayings and pictures.

Looking for the best happy quots pictures, photos images? Member Benefits Chart For over 100 years, AAA has provided members with peace of mind. Mikeaposs Camera Home Canon EOS 7D Mark II Digital SLR Camera - Body Only - Black.

Omregistrering fra SKK - For omregistrere hunden sender du inn til NKK hundens svenske stamtavle i original. Rdgivningskontoret for syn og hrsel - Tilbud til. Remarks by the President at Veterans Day Commemoration. Skatteetaten - Skatt p utleie Hvis du leier ut hele eller en strre del av boligen din, og utleieinntektene overstiger 20 000 kroner, blir alle utleieinntektene fra boligen i lpet av ret.

Ingen kommentarer:

Legg inn en kommentar

Merk: Bare medlemmer av denne bloggen kan legge inn en kommentar.